球盟会科技(qm)官网-全球领先室温超导体应用解决方案

行业动态

球盟会:纳尼室温超导体来了!?

日期:2025-07-07 22:46:36     作者:admin     阅读


  在科幻电影《阿凡达》里,人们为了开发潘多拉星球上的宝贵资源,创造了人脑遥感控制阿凡达试图和那威人“和平共处”,然而不幸的是,强烈的利益冲突最终还是导致了大战爆发,人类在不惜一切代价摧毁外星人家园的同时损失惨重。地球人大老远跑到外星球去,究竟挖什么宝贝呢?电影里揭秘道,是一种叫做“”的地球上没有的神奇室温超导矿石。这室温超导体具有异常强大的力量,以至于依赖潘多拉星磁场就足以悬浮其含有这类矿石的一座座“哈利路亚”大山,其经济价值无可估量

  和平主义者也许会想:如果在地球上就找到了或者人工合成了室温超导体,那么或许就没必要远征宇宙深入,避免和外星人发生了。

  先后贴出了两篇论文,号称发现了373 K的超导体和350 K的超导迹象[2][3]。从科学定义上,一般认为300 K就是室温(0℃相当于273 K,300 K则相当于27℃)。因此,373 K和350 K都高于室温,这是否意味着室温超导体就此被发现了呢?对于不做超导研究的公众来说,部分是将信将疑,部分是欢呼雀跃。

  ,根本不值得一看,且不论其真假与否。换句话说,在任何超导国际会议中,没有一个人会提这茬。为什么科学家对室温超导体的发现,会反映如此冷淡呢?

  要说室温超导是啥,先得回答什么是超导。从字面球盟会官方网站意思上,超导就是超级导电之意。超导体导电能力有多强?在一定温度(定义为超导临界温度)之下,超导体电阻为零

  [4]。尽管严格意义上的零电阻无法测量出来,但是精确实验表明,超导材料的电阻率要小于 10-18Ω m,要比导电性最好的金属如银、铜、金、铝等(也是目前电线的主要成分)要整整低了10个数量级!这意味着,在闭合超导线 A的电流,需要近一千亿年才能衰减掉,比我们宇宙的年龄(138亿年)还要长!因此,我们有充分的理由认为超导态下电阻为零[5]。第一个超导体――金属汞,由荷兰科学家卡末林昂尼斯等人在1911年发现,并因此获得了1913年诺贝尔物理学奖[6]。形成神奇的零电阻态同时,超导体还“修炼”成了另一种神奇的“金钟罩铁布衫之功”――可以把体内的所有磁力线排出外面,体内的磁感应强度也为零!无论是先置入外磁场中后降温到超导态,还是先降温到超导态再放入外磁场中,外磁场的磁力线都无法穿透到超导体内部,超导体具有“完全抗磁性”。该效应于1933

  [7]。只有同时具有零电阻效应和完全抗磁性这两大神奇物性的材料,才能从科学意义上称之为超导材料!

  从微观上来说,超导态是电子的一种宏观量子有序态。超导的出现实际上是电子群体“手牵手”配对并凝聚的过程。尽管我们习惯认为两个带负电的电子永远因为库仑作用而相斥,但是,倘若它们因为某种间接作用而发生微弱的相互吸引呢?那么,原本是冤家的电子将各自寻找合适的伴侣而两两配对,电子对们将在量子力学的效应下实现“步调一致”的行走模式,最终集体凝聚到了稳定的低能组态――超导态。因为配对电子动量相反,所以当其中某个电子受到散射发生能量损失,另一个反方向运动的电子就会受到类似散射但发生能量增加,电子对保持能量不损失的状态继续运动,出现宏观零电阻态。而电子对们的集体抱团行为,形成了良好屏蔽效应,磁力线也很难渗透到内部,也就有了完全抗磁性

球盟会:纳尼室温超导体来了!?(图1)

  9300多个超导磁体,就是发现希格斯粒子必不可缺的大功臣。和常规磁悬浮技术相比,超导磁悬浮列车更为高速、稳定和安全,是未来交通工具的重要明星之一。超导还具有许多复杂有趣的微观量子效应,利用超导电流的量子干涉效应制备的超导量子干涉仪,对外磁场感应极其敏感,是目前世界上最灵敏的磁测量仪器,仅受到了量子力学基本原理的限制。基于超导量子干涉仪制备超导量子比特,是未来量子计算中最重要的量子单元,基于量子力学原理实现的高性能计算,将掀起一场新的信息革命。

  超导材料探索之路超导长期以来都是基础物理研究中的一个重要前沿领域。自1911

  4月8日,第一个超导体――金属汞被发现存在4.2 K的超导电性以来,物理学家发现了大量单质和合金超导体,但是它们的超导临界温度都很低[4],75年过去了,探索到的最高临界超导温度的化合物是Nb3Ge,为23.2 K。如此低的超导温度意味着,实现超导应用必须依赖于昂贵的低温液体――如液氦等来维持低温环境。这导致超导应用的成本急剧增加,维持低温的成本甚至远远超过了材料本身的价值。寻找更高临界温度,特别是液氮温区(77 K)

  1986年瑞士苏黎世IBM公司的柏诺兹和缪勒在铜氧化物体系发现了35 K的超导[10]。在中美等国科学家的推动下,该记录在五年内不断刷新,于1994年左右创造了常压下135 K、高压下164 K的临界温度新记录[4][11]。然而,铜氧化物高温超导材料属于氧化物陶瓷,缺乏柔韧性和延展性,容易在承载大电流时失去超导电性而迅速发热,应用起来存在许多技术难度。而且,其物理性质极其复杂,难以被现有理论框架解释。寻找新型的高温超导体,势在必行。2008年

  月23日日本科学家报道了铁砷化物体系中存在26 K的超导电性[12]。在中国科学家的努力下,这类材料的超导临界温度很快就突破了40 K,在块体材料中实现了55 K的高温超导电性[13]。新一代高温超导家族――铁基超导就此宣告发现。只是,这类超导体大都含砷或碱金属,不仅有毒而且对空气敏感,应用方面同样存在不少局限性。高于40 K

  [14]。尽管人们在单质金属、合金、氧化物、甚至有机物中都发现了超导电性,人们一直渴望寻找到室温下的实用超导体。关于室温超导的梦想,一直没有间断过!美国、中国、日本等国科学家都曾先后立项探索室温超导体,日本更是提出了寻找400 K

球盟会:纳尼室温超导体来了!?(图2)

  室温超导有可能实现吗?寻找室温超导之路是十分艰难坎坷的,百余年来,无数材料科学家付出了许多心血。到近年来,几乎平均每个月都有新超导体被发现,这些超导体有的被后续重复实验证实,有的则无法重复出来,有的是乌龙事件,还有的是学术造假行为。

球盟会:纳尼室温超导体来了!?(图3)

  为了谋取个人利益,一些科研工作者甚至铤而走险,不惜造假发论文。例如一位叫

  2001年间疯狂灌水,宣称在C60等材料中发现52 K以上的高温超导电性以及其他一系列的电子器件应用,其论文产出效率达到了每8天一篇的速度!最终被科学家发现他几乎所有论文均造假,Science杂志于2002年撤稿8篇,Nature杂志于2003年撤稿7篇,其他学术期刊也纷纷撤稿数十篇。他的母校实在看不下去,把他博士学位撤销了,尽管后来双方又反复打官司,最终在2011年9月终审决定还是撤销学位。这桩科学丑闻轰动了全世界,他本人也被成为“物理学史上50年一遇的大骗子”。打开谷歌(这种事情不能靠度娘了),键入“room temperature superconduct

  661000个搜索结果。可见,人们对室温超导体的关切程度之热。英文同样给出了几个“室温超导体”的例子,其实2000、2003、2012、2014等年里都有正式的科研论文发表,号称寻找到了“室温超导体”。一些网站上经常曝出各种高临界温度的超导体,如室温下的铜氧化物超导体、室温下的金属合金、700 K超导的碳纳米管等等。然而,这些实验报道,无一例外,都从未被重复实验确认过。当然,更多的是,这些报道的实验数据都极其粗糙甚至低劣,难以被任何一个有科学良知的人信服。

球盟会:纳尼室温超导体来了!?(图4)

  和实验物理学家的小心谨慎不同,理论物理学家的预言往往比较大胆。在不违反已知物理原理基础上,理论预言可能的室温超导体还是不少的,其中典型代表之一是金属氢。我们知道,氢在常压下为气体,倘若不断施加高压,氢会被液化,而后固化,再进一步压缩氢原子之间的间距,最终会变成金属化的氢。金属氢具有非常高的热振动能量,可以提供高温超导电性形成所需要的媒介,很可能就是室温超导体。令实验物理学家郁闷的是,他们不断努力改进实验装置,通过金刚石对顶压砧把压力提高到了325万个大气压,固态金属氢终于在

  年被成功实现[15]。如此高的压力,已经接近地心内部压力(360 GPa)了,这时氢分子早已被打断成了单个氢原子,但却没有发现超导电性!十分有趣的是,包括中国的研究人员在内的科学家还从理论上预言氢的化合物H2S-H2

  体系在高压下可能实现191 K的高温超导,将突破铜氧化物中164 K的临界温度记录。同在2015年,德国科学家A.P. Drozdov等人宣称在硫化氢中发现了203 K的超导电性,距离300 K的室温,几乎一步之遥。只是,条件同样非常苛刻――要在200万个大气压下(200 GPa)才可以。实验技术难度非常之大,要在低温状态下把极其容易爆炸的硫化氢通入金刚石压砧装置,还要能够在超高压下测量其电阻和磁化率。论文于2014年12月1日贴到预印本网站arXiv,历经半年多后才投稿到了Nature杂志上[16]。据说,为了避免前车之鉴,这半年时间内,Nature杂志预先请了一个专家团到德国的实验室去,要求查看所有的原始实验记录,并实地重复出实验结果。在保证零电阻结果可靠性之后,专家团还要求他们进行了完全抗磁性的测量,最终确立了200 K以上超导的准确性,才允许投稿,并且花了近一个月时间审稿才被接收。后来,论文中的若干现象被日本和中国科学家重复实验证实,科学界才慢慢接受这个结果,在此之前,几乎所有人对Drozdov的学术报告都反应显得冷淡。200 K超导,看上去很美,但在如此高压下却难以实用。而且,我们熟知的臭鸡蛋味硫化氢H2S,在两个金刚石对顶砧中间承受如此巨大的压力,已经变成新的H3S结构。话说压个屁屁就超导,屁也不是那个屁了。至此,寻找常压下的实用型室温超导体,仍然是个梦。

球盟会:纳尼室温超导体来了!?(图5)

  4日,一个叫Ivan Zahariev Kostadinov的人在arXiv贴出了一篇题为“373 K超导体”的论文[3]。令人奇怪的是,作者的单位就叫做“私密研究所-373 K超导体”,一查才发现原来是他注册了一个公司就叫做“373 K超导体”!更令人狐疑的是,通篇论文未提该“超导材料”的化学式或者合成方式;尽管都有零电阻和抗磁性的实验数据,而且这些数据“看起来特别真实”,数据质量却非常糟糕,不少所谓“磁悬浮”的图片都用来当做证据之一。或许他有理由说正在申请专利,准备挣大钱,不方便透露配方;或许他有理由说这只是初步的实验结果或部分可以拿出来的结果。但在绝大多数专业从事超导研究人员看来,这不是一篇合格的学术论文,尽管笔者多年前多次在正式期刊上发表了多篇学术论文,但不足以说明这篇论文的真实性。加上多年前的多个乌龙和造假事件,在这种虚晃一枪的报道面前,又有何种理由相信呢?

球盟会:纳尼室温超导体来了!?(图6)

球盟会:纳尼室温超导体来了!?(图7)

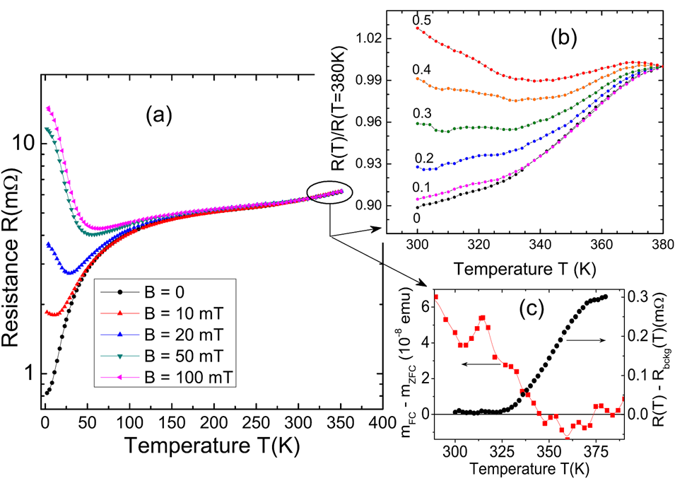
  月30日,又有德国的Christian E. Precker等人在arXiv贴出了关于石墨晶体中存在350 K超导迹象的论文[4]。相比3月份的论文,这篇论文数据显得更为详实系统,似乎预示着室温超导的发现不远了。这次不同是,他们详细指出样品来自巴西某矿产的石墨晶体(是不是广告另说)。理论上,石墨烯中是否存在室温超导电性,一直以来是争议的一个焦点之一。因为石墨烯中电子运动速度极快,甚至需要用相对论化的狄拉克方程来描述,而不是简单的薛定谔方程,那么一旦实现超导,就可能意味着很高的临界温度。不过实验上并不是那么顺利,在碱金属掺杂的少层石墨烯中仅发现4.5 K的超导电性,在碱土金属掺杂的石墨中最高发现11.5 K的超导电性,距离室温超导都相去甚远!不过,这次论文作者说,350 K超导迹象是在室温300 K之上,以前大伙儿只是没注意到如此高温度而已。细读这篇论文,就会发现结论并非那么可靠,――因为所有的实验数据就没有出现真正意义上的零电阻态,完全抗磁性也没有!作者所谓的“超导证据”,只是电阻在350 K存在一个轻微的下降,并会响应磁场的变化,这种可能性其实有很多很多,完全可以和超导没有半毛钱关系!查阅以前的文献可以发现,早在2013年

  月18日同一个德国研究组的T. Scheike等人就报道过了石墨烯中400 K的“超导迹象”[17]。据德国其他超导研究人员反映,没有一个人相信他的结果,而且大伙儿都懒得去相信他。如今再整一出,估计结果还是一样――信不信由你。看来,与其说2016年里室温超导来了,还不如说是狼来了。

  室温超导之路,漫漫其修远兮。期待真的有室温超导被发现的哪一天。或许那时,我们可以在家里舒舒服服地躺在室温超导磁悬浮沙发上休息,也可以午饭后坐上时速

  公里以上的真空管道超导磁悬浮列车去巴黎喂个鸽子,还可以在办公室随时弄个核磁共振成像监测身体内部的变化。

球盟会:纳尼室温超导体来了!?(图8)

  物理所超导材料探索研究组任治安老师学术报告,“比想象更普遍――超导之材料篇”;朋友圈里来自歌德大学的、浙江大学路欣等若干朋友的精彩点评;

球盟会:纳尼室温超导体来了!?(图9)

  联系地址:陕西省西安市咸宁西路28号邮政编码:710049电子信箱:/div>